L'outil Generate Trend Raster (Générer un raster de tendance) estime la tendance de chaque pixel le long d'une dimension pour une ou plusieurs variables d’une couche d'imagerie multidimensionnelle.
La sortie correspond à une couche d'imagerie hébergée.
Exemples
Voici des exemples d'utilisation de cet outil :
- Déterminer si une tendance saisonnière est présente dans les données quotidiennes de précipitations collectées sur 10 ans à l’aide de l’option de ligne de tendance harmonique et examiner la statistique R-carré de la qualité de l’ajustement.
- Calculer la ligne de tendance linéaire de chaque pixel sur plus de 40 années de données mensuelles de température des océans pour identifier où et comment la température a changé au fil du temps.
Remarques sur l’utilisation
L’outil Générer un raster de tendance inclut des configurations pour la couche en entrée, les paramètres de tendance et la couche de résultat.
Couche en entrée
Le groupe Input layer (Couche en entrée) comprend les paramètres suivants :
- Multidimensional imagery layer (Couche d’imagerie multidimensionnelle) est la couche d’imagerie à analyser. Si aucune couche d’imagerie n’est disponible pour sélection dans l’outil, ajoutez une couche d’imagerie multidimensionnelle à la carte.
- Dimension est la statistique qui sera extraite. Si le raster en entrée n’est pas un raster multidimensionnel, ce paramètre n’est pas requis.
- Variables correspond aux variables qui sont agrégées selon la dimension sélectionnée. Si aucune variable n’est spécifiée, toutes les variables avec la dimension sélectionnée sont agrégées.
Paramètres de tendance
Le groupe Trend settings (Paramètres de tendance) inclut les paramètres suivants :
- Trend type (Type de tendance) indique le type d’analyse à effectuer sur les valeurs de pixel le long d’une dimension.

Trois options de ligne de tendance permettent d’ajuster une tendance aux valeurs de variable par rapport à une dimension : linéaire, harmonique et polynomiale. Ces trois options d’ajustement de tendance sont décrites ci-après. Outre les options de ligne, deux options permettent de déterminer si les pixels dans la couche d’imagerie multidimensionnelle contiennent une tendance statistiquement significative : Mann-Kendall et Mann-Kendall saisonnier.
- Linear (Linéaire) : la ligne de tendance linéaire est la ligne droite la mieux adaptée utilisée pour estimer des relations linéaires simples. Une tendance linéaire met en évidence un taux de variation qui augmente ou diminue de manière régulière. La formule de la ligne de tendance linéaire est la suivante :

- y = valeur variable du pixel
- x = valeur de dimension
- ß0 = interception avec l’axe des Y
ß1 = pente linéaire ou taux de variation
ß1 > 0 indique une tendance croissante
ß1 < 0 indique une tendance décroissante
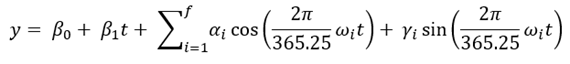
- Harmonic (Harmonique) : la ligne de tendance harmonique est la courbe périodique la plus adaptée pour décrire des données qui suivent un modèle cyclique, telles que des changements de température saisonniers. La formule de la ligne de tendance harmonique est la suivante :

- y = valeur variable du pixel
- t = date julienne
- ß0 = interception avec l’axe des Y
- ß1 = taux de variation
- α, γ = coefficients des changements d’une année à l’autre ou au cours d’une même année
- ω = i
- f = fréquence harmonique
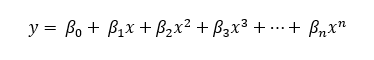
- Polynomial : la ligne de tendance polynomiale est une courbe utile pour les données qui fluctuent. Dans ce cas, une valeur d’ordre polynomial est utilisée pour indiquer le nombre maximum de fluctuations qui se produisent. La formule de la ligne de tendance polynomiale est la suivante :

- y = valeur variable du pixel
- x = valeur de dimension
- ß0, ß1, ß2, ß3, ..., ßn = coefficients constants
Mann-Kendall : les pixels sont évalués à l’aide du test de tendance de Mann-Kendall.
Les tests de Mann-Kendall et Mann-Kendall saisonnier déterminent si les données présentent une tendance monotonique. Ils ne sont pas paramétriques, c’est-à-dire qu’ils ne formulent aucune hypothèse sur la distribution spécifique des données. Le test de Mann-Kendall ne considère pas une corrélation sérielle ou des effets saisonniers. Si les données ont une saisonnalité, le test de Mann-Kendall saisonnier est plus adapté.- Seasonal-Mann-Kendall (Mann-Kendall saisonnier) : les valeurs de pixel sont évaluées à l’aide du test de tendance de Mann-Kendall saisonnier.
- Linear (Linéaire) : la ligne de tendance linéaire est la ligne droite la mieux adaptée utilisée pour estimer des relations linéaires simples. Une tendance linéaire met en évidence un taux de variation qui augmente ou diminue de manière régulière. La formule de la ligne de tendance linéaire est la suivante :
- Le paramètre Length of cycle (Durée du cycle) pour l’analyse des tendances harmoniques est utilisé pour indiquer le nombre et la durée des cycles que vous vous attendez à voir dans les données tout au long d’une journée ou d’une année. Si, par exemple, vous prévoyez que les données connaissent deux cycles de variation dans l’année, la durée du cycle sera de 182,5 jours, soit 0,5 an. Si vos données de température sont recueillies toutes les trois heures, et s’il y a un cycle de variation par jour, la durée du cycle est d’une journée.
- Le paramètre Cycle unit (Unité du cycle) est l’unité de temps qui est utilisée pour la longueur du cycle harmonique.
- La fréquence ou l’ordre polynomial pour l’analyse des tendances harmoniques permet de décrire le modèle harmonique à ajuster aux données. Si la fréquence est définie sur 1, une combinaison de tendance linéaire et de courbe harmonique de premier degré est utilisée pour ajuster le modèle. Si la fréquence est définie sur 2, une combinaison de tendance linéaire, de courbe harmonique de premier degré linéaire et de courbe harmonique de second degré est utilisée pour ajuster les données. Si la fréquence est 3, une courbe harmonique de troisième degré supplémentaire est utilisée pour modéliser les données et ainsi de suite.
- Le paramètre Seasonal period (Période saisonnière) correspond à l’unité de temps permettant de mesurer la longueur de la période saisonnière lors du test de Mann-Kendall saisonnier.
- Model statistics (Statistiques du modèle) spécifie les statistiques qui seront calculées dans la sortie. Les options sont les suivantes :
- RMSE (EQM) : précise si l’erreur quadratique moyenne (EQM) de la ligne d’ajustement de la tendance est calculée. Si cette option est sélectionnée, l’EQM sera calculé et inclus comme l’un des canaux de la couche d’imagerie de tendances.
- R-squared (R-carré) : précise si la statistique de la qualité d’ajustement R-carré pour la ligne d’ajustement de la tendance est calculée Si cette option est sélectionnée, la valeur R-carré sera calculée et incluse comme l’un des canaux de la couche d’imagerie de tendances.
- P-value of slope coefficient (Valeur P du coefficient de pente) : précise si la statistique de valeur P pour le coefficient de pente de la ligne de tendance est calculée. Si cette option est sélectionnée, la valeur P sera calculée et incluse comme l’un des canaux de la couche d’imagerie de tendances.
- Ignore NoData (Ignorer NoData) indique si les valeurs manquantes sont ignorées dans l’analyse ou considérées comme partie intégrante de l’analyse.
Couche de résultat
Le groupe Result layer (Couche de résultat) comprend les paramètres suivants :
- Le paramètre Output name (Nom en sortie) spécifie le nom de la couche qui a été créée et est affichée. Le nom doit être unique. Si une couche du même nom existe déjà dans votre organisation, l’outil échoue et vous êtes invité à utiliser un autre nom.
- Le paramètre Save in folder (Enregistrer dans un dossier) indique le nom d’un dossier de My content (Mon contenu) dans lequel est enregistré le résultat.
Environnements
Les paramètres d’environnement d’analyse sont des paramètres supplémentaires qui affectent les résultats d’un outil. Vous pouvez accéder aux paramètres d’environnement d’analyse de l'outil à partir du groupe de paramètres Environment settings (Paramètres d'environnement).
Cet outil respecte les environnements d'analyse suivants :
- Système de coordonnées en sortie
- Transformations géographiques
- Etendue de traitement
Remarque :
L’étendue de traitement par défaut correspond à l’étendue Full extent (Vue générale). Ce paramètre par défaut diffère de Map Viewer Classic, où Use current map extent (Utiliser l’étendue courante de la carte) est activé par défaut.
- Raster de capture
- Taille de cellule
- Méthode de rééchantillonnage
- Facteur de traitement parallèle
Sorties
Cet outil comprend les sorties suivantes :
Couche d’imagerie contenant des valeurs qui estiment la tendance pour tous les pixels si une option de ligne de tendance a été sélectionnée.
Pour l’analyse de tendance linéaire, la sortie contient une couche d’imagerie à trois canaux telle que la suivante :
- Canal 1 = Pente
- Canal 2 = Interception
- Canal 3 = Racine carrée de l’erreur quadratique moyenne (EQM) ou erreur autour de la ligne de compromis
Pour l’analyse de tendance harmonique, le nombre de canaux dans la sortie dépend de la fréquence harmonique. Si la fréquence est définie sur 1, la sortie est une couche d’imagerie à cinq canaux de type suivant :
- Canal 1 = Pente
- Canal 2 = Interception
- Canal 3 = Harmonic_sin1
- Canal 4 = Harmonic_cos1
- Canal 5 = EQM
Si la fréquence est définie sur 2, la sortie est une couche d’imagerie à sept canaux de type suivant :
- Canal 1 = Pente
- Canal 2 = Interception
- Canal 3 = Harmonic_sin1
- Canal 4 = Harmonic_cos1
- Canal 5 = Harmonic_sin2
- Canal 6 = Harmonic_cos2
- Canal 7 = EQM
Pour l’analyse de tendance polynomiale, le nombre de canaux dans la sortie dépend du degré polynomial. Un ajustement polynomial du deuxième degré génère une couche d’imagerie à quatre canaux de type suivant :
- Canal 1 = Polynomial_2
- Canal 2 = Polynomial_1
- Canal 3 = Polynomial_0
- Canal 4 = EQM
Un ajustement polynomial du troisième degré génère une couche d’imagerie à cinq canaux de type suivant :
- Canal 1 = Polynomial_3
- Canal 2 = Polynomial_2
- Canal 3 = Polynomial_1
- Canal 4 = Polynomial_0
- Canal 5 = EQM
Si l’outil réalise le test de Mann-Kendall ou Mann-Kendall saisonnier, la sortie est une couche d’imagerie à cinq canaux de type suivant :
- Canal 1 = Pente de Sen
- Canal 2 = Valeur P
- Canal 3 = Score de Mann-Kendall (S)
- Canal 4 = Variance S
- Canal 5 = Score Z
Conditions d’utilisation
Cet outil requiert le type d’utilisateur et les configurations suivants :
Ressources
Référez-vous aux ressources suivantes pour en savoir plus :
- Générer un raster de tendance dans ArcGIS REST API
- generate_trend_raster dans ArcGIS API for Python
- Générer un raster de tendance dans ArcGIS Pro
Vous avez un commentaire à formuler concernant cette rubrique ?