L’outil Générer un raster de tendance estime la tendance de chaque pixel le long d’une dimension pour une ou plusieurs variables dans un raster multidimensionnel.
Remarque :
Cet outil est maintenant disponible dans Map Viewer, l’outil moderne de création de cartes dans ArcGIS Enterprise. Pour en savoir plus, reportez-vous à la rubrique Générer un raster de tendance (Map Viewer).
Pour que cet outil puisse être exécuté, l’organisation doit être configurée pour l’analyse raster.
Si vous ne voyez pas cet outil dans Map Viewer Classic, contactez l’administrateur de votre organisation. Il se peut que votre portail ne soit pas configuré pour l'analyse raster ou que vous ne disposiez pas des privilèges requis pour exécuter l'outil.
Diagramme de workflow

Exemple
- Vous disposez de 40 années de données mensuelles de température des océans et vous souhaitez calculer l’ajustement de la ligne de tendance linéaire de chaque pixel pour identifier où et comment la température a changé au fil du temps.
- Vous disposez de données quotidiennes de précipitations sur 10 ans et vous souhaitez utilisez l’option de ligne de tendance harmonique et examiner la statistique R-carré de la qualité de l’ajustement afin de savoir si une tendance saisonnière est indiquée par les données.
Remarques sur l’utilisation
Cet outil permet d’ajuster les données sur une courbe de tendance linéaire, harmonique ou polynomiale ou de détecter la tendance au moyen du test de Mann-Kendall ou Kendall saisonnier.
Le raster de tendance en sortie généré avec cet outil est utilisé en entrée dans l’outil Prévoir à l’aide du raster de tendance.
Les tests de Mann-Kendall et Kendall saisonnier déterminent si les données présentent une tendance monotonique. Ils ne sont pas paramétriques, c’est-à-dire qu’ils ne formulent aucune hypothèse sur la distribution spécifique des données. Le test de Mann-Kendall ne considère pas une corrélation sérielle ou des effets saisonniers. Si les données ont une saisonnalité, le test de Kendall saisonnier est plus adapté.
Trois options de ligne de tendance permettent d’ajuster une tendance aux valeurs de variable par rapport à une dimension : linéaire, harmonique et polynomiale.

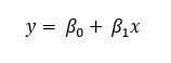
- Linear (Linéaire) : la ligne de tendance linéaire est la ligne droite la mieux adaptée utilisée pour estimer des relations linéaires simples. Une tendance linéaire met en évidence un taux de variation qui augmente ou diminue de manière régulière. La formule de la ligne de tendance linéaire est la suivante :

- Où :
- y = valeur variable du pixel
- x = valeur de dimension
- ß0 = interception avec l'axe des y
- ß1 = pente linéaire ou taux de variation
- ß1 > 0 indique une tendance croissante
- ß1 < 0 indique une tendance décroissante
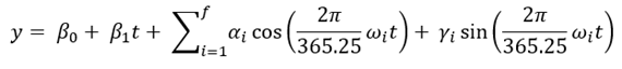
- Harmonic (Harmonique) : la ligne de tendance harmonique est la courbe périodique la plus adaptée pour décrire des données qui suivent un modèle cyclique, telles que des changements de température saisonniers. La formule de la ligne de tendance harmonique est la suivante :

- Où :
- y = valeur variable du pixel
- t = date julienne
- ß0 = interception avec l'axe des y
- ß1 = taux de variation
- α, γ = coefficients des changements d’une année à l’autre ou au cours d’une même année
- ω = 1/i
- f = fréquence harmonique
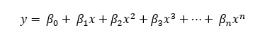
- Polynomial (Polynomial) : la ligne de tendance polynomiale est une courbe utile pour les données qui fluctuent. Dans ce cas, une valeur d’ordre polynomial est utilisée pour indiquer le nombre maximum de fluctuations qui se produisent. La formule de la ligne de tendance polynomiale est la suivante :

- Où :
- y = valeur variable du pixel
- x = valeur de dimension
- ß0, ß1, ß2, ß3, ..., ßn = coefficients constants
Si vous effectuez un ajustement de tendance linéaire, harmonique ou polynomial, la sortie est une couche d’imagerie multidimensionnelle dans laquelle chaque tranche correspond à un raster multi-canal contenant des informations sur la ligne de tendance. Si vous analysez la tendance pour une seule variable d’un jeu de données contenant une seule dimension (par exemple, le temps), le jeu de données en sortie ne contient qu’une seule tranche. Si vous analysez une seule variable pour un jeu de données contenant plusieurs dimensions (par exemple, le temps et la profondeur), chaque tranche contient des informations sur les tendances de chaque valeur de dimension ainsi que la dimension non incluse dans l’analyse.
Pour l’analyse de tendance linéaire, la sortie contient des rasters à trois canaux :
- Canal 1 = Pente
- Canal 2 = Ordonnée à l’origine
- Canal 3 = Racine carrée de l'erreur quadratique moyenne (EQM) ou erreur autour de la ligne de compromis
Pour l’analyse de tendance harmonique, le nombre de canaux dans la sortie dépend de la fréquence harmonique. Si la fréquence est définie sur 1, la sortie est un raster à cinq canaux :
- Canal 1 = Pente
- Canal 2 = Ordonnée à l’origine
- Canal 3 = Harmonic_sin1
- Canal 4 = Harmonic_cos1
- Canal 5 = EQM
Si la fréquence est définie sur 2, la sortie est un raster à sept canaux :
- Canal 1 = Pente
- Canal 2 = Ordonnée à l’origine
- Canal 3 = Harmonic_sin1
- Canal 4 = Harmonic_cos1
- Canal 5 = Harmonic_sin2
- Canal 6 = Harmonic_cos2
- Canal 7 = EQM
Pour l’analyse de tendance polynomiale, le nombre de canaux dans la sortie dépend du degré polynomial. Un ajustement polynomial du deuxième degré génère un raster à quatre canaux :
- Canal 1 = Polynomial_2
- Canal 2 = Polynomial_1
- Canal 3 = Polynomial_0
- Canal 4 = EQM
Un ajustement polynomial du troisième degré génère un raster à cinq canaux qui correspondent aux canaux suivants :
- Canal 1 = Polynomial_3
- Canal 2 = Polynomial_2
- Canal 3 = Polynomial_1
- Canal 4 = Polynomial_0
- Canal 5 = EQM
Si l’outil réalise le test de Mann-Kendall ou Kendall saisonnier, la sortie est un raster à cinq canaux de type suivant :
- Canal 1 = Pente de Sen
- Canal 2 = Valeur de p
- Canal 3 = Score de Mann-Kendall (S)
- Canal 4 = Variance S
- Canal 5 = Score z
Les sorties des tests de Mann-Kendall ou Kendall saisonnier permettent de déterminer les pixels de votre série temporelle multidimensionnelle qui présentent une tendance statistiquement significative. Vous pouvez utiliser cette information avec une analyse de tendance linéaire, harmonique ou polynomiale pour extraire les tendances significatives de vos séries temporelles. Vous générez un masque comportant les pixels avec une valeur de p significative, appliquez le masque au raster multidimensionnel et utilisez ce raster multidimensionnel masqué comme entrée de l’outil pour effectuer une analyse de tendance linéaire, harmonique ou polynomiale.
Il est possible de générer des statistiques de qualité de l’ajustement du modèle sous forme de sorties facultatives pour les rasters de tendance linéaire, harmonique et polynomiale. La racine carrée de l’erreur quadratique moyenne (EQM), la valeur R-carré et la valeur p de pente de la tendance peuvent être calculées et affichées dans le raster en sortie à l’aide du moteur de rendu RGB (RVB) et si vous spécifiez les statistiques comme étant les canaux rouge, vert et bleu.
Pour plus d’informations sur la publication de couches d’imagerie multidimensionnelles, consultez la rubrique Publier des couches d’imagerie multidimensionnelles.
Si l’option Use current map extent (Utiliser l’étendue courante de la carte) est sélectionnée, seuls les pixels qui sont visibles dans l’étendue courante de la carte seront analysées. Si l’option n’est pas sélectionnée, la couche d’imagerie en entrée entière sera analysée.
Les paramètres de cet outil sont indiqués dans la table suivante :
| Paramètre | Explication |
|---|---|
| Choisir une couche d’imagerie multidimensionnelle pour analyser la tendance | Couche d’imagerie multidimensionnelle à analyser. |
| Choisir la dimension le long de laquelle analyser la tendance des variables | Dimension le long de laquelle une tendance est calculée pour la ou les variables sélectionnées. |
| Choisir la ou les variables pour analyser la tendance | La variable ou les variables pour lesquelles les tendances sont calculées. Si aucune variable n’est spécifiée, la première variable de la couche d’imagerie multidimensionnelle est analysée. |
| Choisir le type de ligne pour ajuster les valeurs de variable le long d’une dimension | Spécifie le type de ligne à utiliser pour ajuster les valeurs de pixel le long d’une dimension.
|
| Indiquez l’unité de temps de la durée d’une saison. | Spécifie l’unité de temps à utiliser pour mesurer la longueur de la période saisonnière lors du test de Kendall saisonnier
|
| Spécifier la longueur d’un cycle harmonique | Durée de la variation périodique à modéliser. Par exemple, les composés phénoliques des feuilles affichent souvent un important cycle de variation dans une année ; aussi la durée du cycle est définie sur 1 année. Les données de température par heure affichent souvent un important cycle de variation dans une journée ; aussi la durée du cycle est définie sur 1 jour. Si, vous prévoyez que vos données connaissent deux cycles de variation dans l’année, la durée du cycle est de 0,5 ans, soit 182,5 jours. La durée par défaut est définie sur 1 année pour les données qui varient sur un cycle annuel. Ce paramètre est requis lorsque le type de ligne de tendance est défini sur Harmonic (Harmonique) et que la dimension est temporelle. |
| Choisir l’unité temporelle de la longueur du cycle harmonique | Précise l’unité de temps à utiliser pour la durée d’un cycle harmonique.
Ce paramètre est requis lorsque le type de ligne de tendance est défini sur Harmonic (Harmonique) et que la dimension est temporelle. |
| Spécifier le numéro de fréquence pour l’ajustement de tendance harmonique | Fréquence utilisée pour l’ajustement de tendance harmonique. Ce paramètre spécifie la fréquence des cycles au cours d’une année. Si la fréquence est définie sur 1, une combinaison de tendance linéaire et de courbe harmonique de premier degré est utilisée pour ajuster le modèle. Si la fréquence est définie sur 2, une combinaison de tendance linéaire, de courbe harmonique de premier degré linéaire et de courbe harmonique de second degré est utilisée pour ajuster les données. La valeur par défaut est 1. Ce paramètre est requis lorsque le type de ligne de tendance est défini sur Harmonic (Harmonique) et que la dimension est temporelle. |
| Spécifier le numéro d’ordre polynomial pour l’ajustement de tendance | Numéro d’ordre polynomial utilisé dans l’ajustement de tendance polynomial. La valeur par défaut est 2 ou un polynôme du second degré. Ce paramètre est requis lorsque le type de ligne de tendance est défini sur Polynomial et que la dimension est temporelle. |
| Choisir les statistiques de modèle à inclure dans le raster de tendance | Spécifie les statistiques qui seront calculées dans la sortie.
|
| Ignorer les valeurs manquantes dans le calcul | Spécifie si les valeurs manquantes sont ignorées lors de l’analyse.
|
| Nom de la couche de résultat | Le nom de la couche qui sera créée dans la page My Content (Mon contenu) et ajoutée à la carte. Le nom par défaut repose sur le nom de l'outil et sur le nom de la couche en entrée. Si la couche existe déjà, vous êtes invité à fournir un autre nom. Vous pouvez spécifier le nom d’un dossier dans My Content (Mon contenu), dans lequel le résultat sera enregistré via la zone de liste déroulante Save result in (Enregistrer le résultat dans). |
Environnements
Les paramètres d’environnement d’analyse sont des paramètres supplémentaires qui affectent les résultats d’un outil. Vous pouvez accéder aux paramètres d’environnement d’analyse de l’outil en cliquant sur le bouton des paramètres
dans la partie supérieure de la fenêtre de l’outil.
Cet outil respecte les environnements d’analyse suivants :
- Système de coordonnées en sortie : indique le système de coordonnées de la couche en sortie.
- Étendue : indique la surface à utiliser pour l’analyse.
- Raster de capture : ajuste l’étendue de sortie afin qu’elle corresponde à l’alignement des cellules de la couche Snap Raster (Raster de capture) spécifiée.
- Taille de cellule : taille de cellule à utiliser dans la couche en sortie.
- Méthode de rééchantillonnage : méthode à utiliser pour interpoler les valeurs de pixel.
- Facteur de traitement parallèle : contrôle les instances CPU ou GPU du traitement parallèle.
Fonctions raster et outils similaires
Utilisez l’outil Générer une anomalie multidimensionnelle pour calculer les valeurs d’anomalie des variables dans le temps. D’autres outils peuvent vous aider à résoudre des problèmes similaires.
Fonctions raster et outils d’analyse Map Viewer Classic
L’outil Prédire à l’aide d’un raster de tendance utilise la sortie de l’outil Générer un raster de tendance pour prévoir des valeurs de variable à une date ou une plage de dates ultérieure.
Fonctions raster et outils d’analyse ArcGIS Pro
L’outil de géotraitement Générer un raster de tendance est disponible dans la boîte d’outils Image Analyst.
Générer une tendance est également disponible sous forme de fonction raster.
Ressources de développeur ArcGIS Enterprise
Si vous travaillez dans ArcGIS REST API, utilisez la tâche Generate Trend Raster.
Si vous travaillez dans ArcGIS API for Python, utilisez generate_trend_raster
du module arcgis.raster.analytics.
Vous avez un commentaire à formuler concernant cette rubrique ?